A Relatively Quick Probability Crash Course — Part 4 — Bernoulli Trial and Discrete Random Variables

Dimitrios
2023-03-03

Continuing the “A Relatively Quick Probability Crash Course” article series, this article will be examined the Bernoulli Trial.

Daniel Bernoulli

Daniel Bernoulli (1700 — 1782) was a Swiss mathematician and physicist from the Enlightenment era that was born in the city of Groningen, in the Netherlands. He grew up in a distinct family of mathematicians. He lived and worked mainly in the Swiss city of Basel in Switzerland as a professor at the University of Basel from 1733 until his death. Until this day he is remembered for his contributions to fluid mechanics and probability and statistics. The concept of a Bernoulli trial is described in his book “Ars Conjectandi” (1713).

Bernoulli Trial

A Bernoulli trial, also known as a “binomial trial”, is an experiment that has two outcomes. One of them is a state of “success” and the other is a state of “failure”.

No matter the distribution of probability between the two states, the important thing about a Bernoulli trial is that the experiment has only two outcomes and that those outcomes have a 100% chance of occurring.

The Binomial Distribution

When an experiment with a Bernoulli trial outcome is conducted multiple times (predefined), a binomial distribution is created. The probability of “success” can be calculated under the following formula..

In the diagram below, this simple experiment has a 12.5% chance of producing three times “success” as an outcome. Here the outcome can be simply counted, the above formula can be used when the experiment is conducted more times than is humanly possible to be counted.

The binomial distribution is been also used to price options contracts according to the binomial option pricing model developed by William Sharpe.

The Geometric Distribution

The geometric distribution is mainly used when the number of trials is unknown, but the “success” rate is been given. The whole process will terminate when the first “success” in been found. This can be calculated by..

If the calculation passed the first “success” is needed then the “negative binomial distribution” formula, a generalized geometric distribution formula, needs to be used.

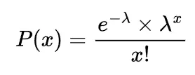
The Poisson Distribution

The Poisson distribution uses fixed time intervals to calculate the probability of one random variable, different than the mean. When all the different than the mean random variable probabilities are calculated, a discrete probability distribution is been created.

The Poisson distribution for the probability mass function is been calculated by the following formula:

The probability of “x” events happening in a predefined given period of time is equal to the natural logarithm raised to the negative amount of the average number of events per the predefined given period of time. The natural logarithm times the average number of events per the predefined given period of time raised to the number of events whose probability is being calculated is the numerator of a fraction with a denominator of the factorial of the number of events whose probability is being calculated.

The formula might also be seen as:

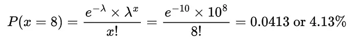
Financial Example

Based on historical data, a trader has measured that he or she makes 10 trades per day in order to keep his or her account rate stable. The following calculation would calculate the probability of him or her making 8 trades per day:

$SPDR S&P 500 ETF Trust(SPY)$

Follow me to learn more about analysis!!

Futures Club
Join Tiger Futures Club to know more about trading futures!
Disclaimer: Investing carries risk. This is not financial advice. The above content should not be regarded as an offer, recommendation, or solicitation on acquiring or disposing of any financial products, any associated discussions, comments, or posts by author or other users should not be considered as such either. It is solely for general information purpose only, which does not consider your own investment objectives, financial situations or needs. TTM assumes no responsibility or warranty for the accuracy and completeness of the information, investors should do their own research and may seek professional advice before investing.

Comments

Leave a comment
14